amper
Amper — jednostka prądu (natężenia prądu) elektrycznego, podstawowa jednostka w układzie SI. Amper to jednostka siły magnetomotorycznej i napięcia magnetycznego, nazwana na cześć francuskiego fizyka i matematyka – André Marie Ampère’a.
Amper jako jednostka natężenia elektrycznego
1 amper to niezmieniający się prąd elektryczny, który płynąc w dwóch równoległych, prostoliniowych, nieskończenie długich przewodach o znikomo małym przekroju kołowym, umieszczonych w próżni w odległości 1 m od siebie, wywołałby między tymi przewodami siłę równą 2·10¯⁷ N na każdy metr długości przewodu.
Definicja ta została przyjęta przez IX Generalną Konferencję Miar, w Polsce obowiązuje od 1953 r.
Powiązania ampera (A) z innymi jednostkami:
- z jednostką napięcia elektrycznego – woltem (V), gdzie W – jednostka mocy (wat):

- z jednostką oporu elektrycznego (rezystancji) – omem (Ω), gdzie V – jednostka napięcia elektrycznego (wolt):

- z jednostką pojemności elektrycznej – faradem (F), gdzie s – jednostka czasu (sekunda):

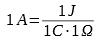
- z jednostką pracy – dżulem (J), gdzie C – jednostka ładunku elektrycznego (kulomb):

- z jednostką czasu – sekundą (s):

Jednostką natężenia prądu elektrycznego w układzie jednostek miar CGS (Centymetr Gram Sekunda) jest 1 biot (Bi) o wartości równej 10 amperom (A): 1Bi = 10A
Do odtwarzania jednostki natężenia prądu (ampera) w sposób definicyjny służy waga prądowa, wynaleziona przez Lorda Kelvina. Urządzenie to składa się z dwóch ramion, z których jedno obciążone jest odważnikiem, na który działa siła równa F1 = mg (gdzie m – masa odważnika, g – przyspieszenie ziemskie), a drugie obciążone jest cewką umieszczoną w nieruchomej cewce. Obie cewki połączone są szeregowo i zasilane ze źródła prądu.
Przepływ prądu przez cewki wywołuje siłę elektrodynamiczną, oddziałującą na ruchomą cewkę o wartości równej:

gdzie:
c – współczynnik zależny od geometrii cewek
I – natężenie prądu
W stanie równowagi obie działające siły są sobie równe:

Wartość natężenia prądu wynosi po przekształceniu:

Obecnie znaczenie wagi prądowej jest głównie historyczne, ze względu na stosunkowo duże błędy wyznaczonej wartości natężenia prądu, wynikające z niedokładnego wyznaczenia współczynnika c zależnego od parametrów geometrycznych cewek, przyjętej wartości g, która różni się od rzeczywistej wartości w danym punkcie pomiaru oraz oddziaływania magnetycznego z otoczenia. Obecnie stosuje się kalibratory prądu, które umożliwiają otrzymanie natężenia prądu z określoną dokładnością i zapewniają nastawę prądu przy granicy błędu 0,05% do 0,001%. Mniejsze błędy odtworzenia w odniesieniu do wagi prądowej można uzyskać przy użyciu metod pośrednich, korzystając z wzorców napięcia i oporu elektrycznego.
Przyrządy do pomiaru natężenia prądu elektrycznego
Do pomiaru natężenia prądu elektrycznego w amperach (A) używa się urządzeń, zwanych amperomierzami, połączonych szeregowo z badanym obwodem prądu elektrycznego. Pomiar natężenia prądu dokonywany jest poprzez oddziaływanie przewodnika z prądem i pola magnetycznego.
W zależności od zakresu amperomierza wyróżnia się:
- kiloamperomierze,
- miliamperomierze,
- mikroamperomierze.
Rodzaje amperomierzy:
- magnetoelektryczne – oddziaływanie stałego pola magnetycznego na cewkę, przez którą przepływa prąd;
- elektromagnetyczne – wzajemne oddziaływanie jednego lub kilku ruchomych elementów z jedną lub kilkoma cewkami, przez które przepływa prąd;
- elektrodynamiczne – wzajemne oddziaływanie dwóch cewek w których płynie prąd;
- indukcyjne – oddziaływanie zmiennego pola magnetycznego na metalową tarczę;
- cieplne i termoelektryczne – wykorzystują nagrzewanie się przewodu, w którym przepływa prąd;
- wykorzystujące efekt nagrzewania się przewodu, w którym płynie prąd. Amperomierze cieplne stosuje się w obwodach wielkiej częstotliwości gdzie indukcyjność cewki amperomierza magnetycznego wprowadzałaby duże zmiany w obwodzie;
- amperomierze cęgowe – otaczają przewód, w którym mierzone jest natężenie prądu elektrycznego.
Amperomierz prądu stałego mierzy wartość chwilową prądu stałego lub prądu wolnozmiennego. Amperomierz prądu przemiennego mierzy wartość skuteczną (amperomierz elektrodynamiczny, elektromagnetyczny, indukcyjny, cieplny i termoelektryczny) lub wartość średnią prądu przemiennego (amperomierz magnetoelektryczny). Zakres pomiarowy amperomierza prądu stałego można rozszerzyć za pomocą bocznika, podłączonego równolegle do cewki ustroju. Dla dużych natężeń prądu stosuje się także przekładniki prądu stałego – transduktory. Do zwiększenia zakresu pomiarowego amperomierza przy pomiarze prądu przemiennego używa się przekładnika prądowego.
Amper jako jednostka siły magnetomotorycznej i napięcia magnetycznego
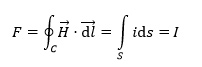
Amper jako jednostka siły magnetomotorycznej i napięcia magnetycznego jest to siła magnetomotoryczna zdefiniowana jako całka okrężna natężenia pola magnetycznego wzdłuż dowolnej krzywej zamkniętej i której wartość jest równa natężeniu prądu przepływającemu przez dowolną powierzchnię ograniczoną krzywą całkowania.
Zależność ta wyraża się wzorem:

gdzie:
F – siła elektromotoryczna
H – natężenie pola magnetycznego
dl – element zamkniętego konturu C
ds – element powierzchni S rozpiętej na konturze C
i – gęstość prądu elektrycznego
I – natężenie prądu elektrycznego płynącego w przewodniku
Dla zwojnicy siła magnetomotoryczna dowolnej krzywej obejmującej zwoje zwojnicy wyraża się wzorem:

gdzie:
z – liczba zwojów uzwojenia sprzężonego
- Elektrotechnika Teoretyczna Tom 1: Teoria obwodów elektrycznych, Stanisław Bolkowski, Wydawnictwa Naukowo-Techniczne, Warszawa 1986.
- Metrologia elektryczna, Augustyn Chwaleba, Maciej Poniński, Andrzej Siedlecki, Wydawnictwa Naukowo-Techniczne, Warszawa 2003.
- Nowa Encyklopedia Powszechna PWN, Wydawnictwo Naukowe PWN, Warszawa 1997.
- Rozporządzenie Rady Ministrów z dnia 30 listopada 2006 r. w sprawie legalnych jednostek miar (U. z 2006 r. nr 225, poz. 1638).
- Wykłady z fizyki, tom 2. Elektryczność i magnetyzm, fale, optyka, Igor W. Sawieliew, Wydawnictwo Naukowe PWN, Warszawa 2013.




