dawka pochłonięta promieniowania
Dawka pochłonięta promieniowania — Dawka pochłonięta promieniowania – to jest ilość energii pochłoniętej przez napromienianą substancję w danym czasie działania promieniowania.
Promieniowanie
Promieniowanie – emisja energii w postaci światła (promieniowanie świetlne), w postaci ciepła (promieniowanie cieplne) oraz w postaci fali elektromagnetycznej – strumienia fotonów o określonej energii (promieniowanie elektromagnetyczne).
Promieniowanie elektromagnetyczne ze względu na oddziaływanie na materię dzieli się na:
- promieniowanie niejonizujące – fala elektromagnetyczna o częstotliwości mniejszej niż 8·10¯⁴ Hz, nie wywołująca jonizacji atomów lub cząsteczek ośrodka; np. zmiany ziemskiego pola magnetycznego, promieniowanie cieplne i słoneczne, wyładowania atmosferyczne,.
- promieniowanie jonizujące – fala elektromagnetyczna o częstotliwości wyższej niż 8·10¯⁴ Hz, o zdolności bezpośredniej lub pośredniej jonizacji atomów lub cząsteczek ośrodka; cechuje się bardzo wysoką energią promieniowania; np. promieniowanie X (rentgenowskie), promieniowanie α (alfa), β (beta), γ (gamma), promieniowanie neutronowe.
Promieniowanie jonizujące jest szkodliwe dla organizmów żywych – poprzez zaburzanie procesów życiowych lub wywoływanie zmian w strukturze komórek i tkanek. Niekorzystne skutki jego oddziaływania wiążą się z rodzajem promieniowania, jego natężeniem i energią, źródłem promieniowania i czasem ekspozycji, a także z rodzajem tkanki (ilość zachodzących podziałów komórkowych, jej zróżnicowanie). Promieniowanie jonizujące w wysokiej dawce wywołuje chorobę popromienną; długotrwałe narażenie na promieniowanie przyczynia się do powstawania mutacji genetycznych i złośliwych nowotworów.
Dawka pochłonięta promieniowania
Dawka pochłonięta jest podstawową wielkością stosowaną w dozymetrii – działu fizyki zajmującego się pomiarem i obliczaniem dawek promieniowania jonizującego oraz oddziaływaniem tego promieniowania z materią.
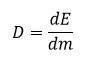
Dawka pochłonięta promieniowania (D) określa ilość energii promieniowania jonizującego (dE) pochłoniętą przez daną jednostkę masy (dm) substancji poddanej napromienianiu w określonym czasie działania promieniowania.
Zależność ta wyraża się wzorem:

Jednostką dawki pochłoniętej promieniowania w układzie SI jest grej (Gy):
1 Gy = 1 J/kg
Niekiedy w użyciu spotykana jest inna jednostka dawki promieniowania – rad:
1 rad = 0,01 Gy
Wielkość dawki pochłoniętej promieniowania zależy od rodzaju promieniowania i jego energii, a także od stopnia oddziaływania promieniowania z ośrodkiem.
Dawka pochłonięta promieniowania wynosząca od 0,75-4 Gy powoduje ostrą chorobę popromienną; dawka promieniowania rzędu 6 Gy jest śmiertelna dla ok. 90% narażonych na jej działanie organizmów żywych.
Dawka ekspozycyjna (ekspozycja)
Dawka ekspozycyjna definiowana jest jako miara jonizacji zachodzącej w powietrzu pod wpływem oddziaływania promieniowania rentgenowskiego (X) lub gamma (γ) i określa sumę ładunków elektrycznych jonów jednego znaku wytworzonych w określonej objętości powietrza, przy założeniu, że wszystkie uwolnione elektrony są zatrzymane w tej objętości powietrza.
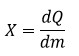
Zależność ta wyraża się wzorem:

gdzie:
X – dawka ekspozycyjna
dQ – wartość bezwzględna sumy ładunków elektrycznych jonów jednego znaku
dm – masa powietrza
Jednostką dawki ekspozycyjnej w układzie SI jest kulomb na kilogram (C/kg); często stosowaną jednostką jest rentgen (1R = 2,58 · 10¯⁴ C/kg; 1R = 8,76 · 10¯³ Gy).
Pojęcie dawki ekspozycyjnej wychodzi obecnie z użycia – zostało zastąpione pojęciem dawki pochłoniętej.
Dawka graniczna, graniczny równoważnik dawki
Dawka graniczna (graniczny równoważnik dawki) jest to największa dopuszczalna dawka promieniowania jonizującego wyznaczona dla danej grupy osób narażonej na oddziaływanie tego promieniowania. Określa wpływ promieniowania jonizującego na organizmy żywe oraz stopień jego szkodliwości.
Definiuje się ją jako iloczyn dawki pochłoniętej promieniowania i współczynnika wagowego promieniowania jonizującego:

gdzie:
H_T – zaadsorbowana dawka równoważna
W_R – współczynnik wagowy promieniowania jonizującego
D_(T,R) – średnia dawka pochłonięta promieniowania jonizującego
Jednostką dawki granicznej jest siwert (Sv).
Dopuszczalna dawka graniczna dla osób bezpośrednio narażonych na promieniowanie jonizujące nie powinna przekraczać wartości 1,3 · 10¯² Sv na kwartał.
Dawka graniczna wynosząca ok. 7 Sv jest dawką śmiertelną bezwzględną dla człowieka, wywołuje ostrą chorobę popromienną, kończącą się śmiercią w przeciągu 2 tygodni u 100% narażonych na promieniowanie osób.
Przyrząd do pomiaru
Przyrządem do pomiaru dawki promieniowania, granicznego równoważnika dawki oraz mocy dawki promieniowania jonizującego jest dozymetr (dawkomierz, miernik dawki). Głównym elementem urządzenia jest detektor promieniowania – w liczniku Geigera – zbiornik z gazem i elektrodami, w dozymetrze fotometrycznym jest nim błona fotograficzna; komorowym – komora jonizacyjna; termoluminescencyjnym – substancja wykazująca luminescencję po napromieniowaniu i ogrzaniu; chemicznym – substancja zmieniająca barwę lub właściwości optyczne pod wpływem promieniowania.
Zastosowanie praktyczne
Pomiar dawki pochłoniętej promieniowania wykorzystywany jest w:
- ochronie radiologicznej (mającej na celu redukcję szkodliwych skutków oddziaływania promieniowania jonizującego na organizm ludzki, np. poprzez używanie kombinezonów ochronnych);
- radiografii przemysłowej (wykrywanie wad badanych obiektów);
- rentgenografii strukturalnej (określanie struktury związków tworzących kryształy</a>);
- w celach leczniczych i diagnostyce (radioterapia, medycyna molekularna);
- sterylizacji radiacyjnej (wyroby medyczne jednorazowego użytku, materiały transplantacyjne);
- chemii radiacyjnej.
- Encyklopedia biologiczna T. II, Zdzisława Otałęga (red. nacz.), Agencja Publicystyczno-Wydawnicza Opres, Kraków 1998.
- Fale, Andrzej Januszajtis, Wydawnictwo Naukowe PWN, Warszawa, 1991.
- Nowa Encyklopedia Powszechna PWN, Wydawnictwo Naukowe PWN, Warszawa 1997.
- Radiation, Lambert M. Surhone, Miriam T. Timpledon, Susan F. Marseken, Betascript Publishers
- Wykłady z fizyki, tom 2. Elektryczność i magnetyzm, fale, optyka, Igor W. Sawieliew, Wydawnictwo Naukowe PWN, Warszawa 2013.





