pole grawitacyjne
Pole grawitacyjne – pole wytwarzane przez ciała fizyczne obdarzone masą znajdujące się w określonej przestrzeni pod wpływem oddziaływania siły grawitacji (ciążenia powszechnego). Pole grawitacyjne określa wartość i kierunek siły grawitacji (Fg) działającej na ciało o masie (m) umieszczone w danym punkcie pola, natomiast jego intensywność (tzw. natężenie pola grawitacyjnego, γ) równe jest stosunkowi siły grawitacji oddziałującej na ciało do jego masy. Pole grawitacyjne posiada potencjał (V), definiowany jako zdolność do nadawania energii potencjalnej (Ep) każdemu ciału w obrębie pola. Zależnie od natężenia pola grawitacyjnego wyróżnia się pole jednorodne o równoległych liniach pola i jednakowym natężeniu (np. pole grawitacyjne przy powierzchni ZiemiSiła grawitacji (siła ciążenia powszechnego)
Siła grawitacji, zwana również siłą powszechnego ciążenia (łac. gravitas – ciężkość), stanowi jedno z podstawowych oddziaływań, którym podlegają wszystkie rodzaje materii wchodzące w skład Wszechświata (np. atomy, cząsteczki, ciała niebieskie). Grawitacja jest zjawiskiem fizycznym polegającym na wzajemnym przyciąganiu się wszystkich ciał obdarzonych masą lub energią. Powyższa zależność opisana jest prawem grawitacji (prawem powszechnego ciążenia) sformułowanym przez angielskiego uczonego Isaaca Newtona w 1687 r.

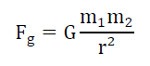
Siła wzajemnego przyciągania się dwóch ciał obdarzonych masami, zgodnie z założeniami prawa grawitacji, jest wprost proporcjonalna do iloczynu ich mas i odwrotnie proporcjonalna do kwadratu odległości pomiędzy ich środkami:

gdzie:
Fg – siła grawitacji [N],
G – stała grawitacji (G=6,67∙10¯^11 Nm²/kg²),
m1i m2 – masy przyciągających się ciał [kg],
r – odległość pomiędzy środkami przyciągających się ciał [m].
Oddziaływanie grawitacyjne pomiędzy dwoma ciałami fizycznymi o niewielkich masach jest oddziaływaniem stosunkowo słabym, w związku z czym nie ma możliwości obserwacji ich wzajemnego przyciągania. Grawitacja staje się zjawiskiem zauważalnym, gdy jedno z ciał posiada ogromną masę, np. w przypadku ciał znajdujących się w polu grawitacyjnym Ziemi.
Siła wzajemnego przyciągania się ciała obdarzonego masą i kuli ziemskiej, jest więc wprost proporcjonalna do iloczynu ich mas i odwrotnie proporcjonalna do kwadratu odległości pomiędzy środkiem ciała i środkiem kuli ziemskiej:

gdzie:
Fg – siła grawitacji [N],
G – stała grawitacji (G=6,67∙10-11 Nm²/kg²),
MZ – masa kuli ziemskiej (MZ=6∙1024 kg),
m – masa ciała znajdującego się w polu grawitacyjnym kuli ziemskiej [kg],
r – odległość pomiędzy środkiem ciała i środkiem kuli ziemskiej (na powierzchni Ziemi
w przybliżeniu równa promieniowi Ziemi r≈Rz=6,37∙106 m).
Oddziaływania grawitacyjne w fizyce współczesnej, zgodnie z założeniami ogólnej teorii względności (OTW) sformułowanej przez niemieckiego fizyka Alberta Einsteina w 1915 r., stanowią skutek zakrzywienia czasoprzestrzeni przez materię obecną we Wszechświecie. Teoria grawitacji Einsteina umożliwia opisywanie silnych pół grawitacyjnych i całościowej struktury Wszechświata, natomiast klasyczna teoria grawitacji Newtona wykorzystywana jest do opisu słabych pół grawitacyjnych oraz ograniczonych przestrzennie rozkładów masy.

Natężenie pola grawitacyjnego (γ)
Pole grawitacyjne jest polem wytwarzanym przez ciała fizyczne obdarzone masą znajdujące się w określonej przestrzeni pod wpływem oddziaływania siły grawitacji (siły powszechnego ciążenia). Pole grawitacyjne określa wartość, kierunek i zwrot siły grawitacji (Fg) działającej na określone ciało o masie jednostkowej (m) znajdujące się w punkcie tego pola. Graficznym przedstawieniem pola grawitacyjnego są linie pola (ang. field lines), do których styczne są wektory natężenia pola grawitacyjnego (γ) i wektory oddziałujących sił grawitacyjnych (Fg).
Natężenie pola grawitacyjnego (γ), stanowiące jedną z podstawowych wielkości opisujących intensywność pola grawitacyjnego wytworzonego przez dane źródło. Definiowane jest jako stosunek siły grawitacji oddziałującej na dane ciało obdarzone masą do masy tego ciała zgodnie z poniższą zależnością:

gdzie:
γ – natężenie pola grawitacyjnego [N/kg]=[m/s²],
Fg – siła grawitacji działająca na ciało o masie m [N],
m – masa ciała znajdującego się w polu grawitacyjnym [kg].
W zależności od natężenia pola grawitacyjnego (γ) i przebiegu linii sił pola, wyróżnia się następujące rodzaje pół grawitacyjnych:
- jednorodne pole grawitacyjne – pole grawitacyjne charakteryzujące się równoległym przebiegiem linii sił pola oraz taką samą wartością, kierunkiem i zwrotem natężenia pola grawitacyjnego w każdym punkcie tego pola (γ=const.) (np. pole grawitacyjne przy powierzchni Ziemi);
- centralne pole grawitacyjne – pole grawitacyjne charakteryzujące się promienistym przebiegiem linii sił pola zbiegających się w środku ciała stanowiącego źródło pola oraz natężeniem zależnym od masy tego ciała (np. kuli ziemskiej, MZ) i odległości ciała próbnego (np. punktu materialnego o masie m) od źródła pola grawitacyjnego (γ=Fg/m=(GMZm)/mr²=(GMZ)/r²) (np. pole grawitacyjne Ziemi).
Natężenie jednorodnego pola grawitacyjnego (γ) występującego w pobliżu powierzchni Ziemi osiąga wartość zbliżoną do wartości przyspieszenia ziemskiego (g):

gdzie:
γ – natężenie pola grawitacyjnego [N/kg]=[m/s²],
g – przyspieszenie ziemskie [m/s²],
G – stała grawitacji (G=6,67∙10-11 Nm²/kg²),
MZ – masa kuli ziemskiej (MZ=6∙1024 kg),
RZ – promień Ziemi (Rz=6,37∙106 m).
Niewielkie różnice w wartości natężenia pola grawitacyjnego (γ) i przyspieszenia ziemskiego (g) wynikają ze stosunkowo niewielkiego wpływu oddziaływania siły odśrodkowej (związanej z ruchem obrotowym kuli ziemskiej wokół własnej osi) na przyspieszenie ziemskie.

Energia potencjalna i potencjał pola grawitacyjnego (V)
Siły oddziaływania grawitacyjnego są siłami zachowawczymi, co oznacza, że praca wykonana przez te siły podczas przemieszczania ciała w polu grawitacyjnym nie zależą od kształtu toru ruchu ani od pokonanej drogi lecz wyłącznie od początkowego i końcowego położenia tego ciała. Każde ciało znajdujące się w danym punkcie pola grawitacyjnego posiada więc energię potencjalną (Ep), w związku z czym to pole grawitacyjne ma charakter pola potencjalnego.
Energia potencjalna ciała umieszczonego w jednorodnym polu grawitacyjnym w pobliżu powierzchni Ziemi zależy od masy tego ciała, przyspieszenia ziemskiego (natężenia pola grawitacyjnego) i położenia tego ciała w stosunku do powierzchni Ziemi:

gdzie:
Ep – energia potencjalna ciała umieszczonego w polu grawitacyjnym [J],
m – masa ciała umieszczonego w polu grawitacyjnym [kg],
g – przyspieszenie ziemskie [m/s²],
γ – natężenie pola grawitacyjnego [N/kg]=[m/s²],
h – położenie ciała w stosunku do powierzchni Ziemi [m].

Energia potencjalna ciała umieszczonego w danym punkcie centralnego pola grawitacyjnego jest równa pracy, jaką wykonały siły grawitacji podczas przenoszenia ciała z nieskończoności do tego punktu pola i zależy od mas przyciągających się ciał i ich wzajemnego położenia:

gdzie:
Ep – energia potencjalna ciała próbnego umieszczonego w polu grawitacyjnym [J],
W – praca wykonana podczas przenoszenia ciała próbnego z nieskończoności do danego punktu pola
grawitacyjnego [J],
G – stała grawitacji (G=6,67∙10-11 Nm²/kg²),
M− masa ciała stanowiącego źródło pola grawitacyjnego [kg],
m – masa ciała próbnego umieszczonego w polu grawitacyjnym [kg],
r – odległość ciała próbnego od źródła pola grawitacyjnego [m].
Pole grawitacyjne posiada potencjał grawitacyjny (V), który definiowany jest jako zdolność do nadawania energii potencjalnej (E_p) każdemu ciału fizycznemu umieszczonemu w danym punkcie pola. Potencjał grawitacyjny (V) jest równy stosunkowi energii potencjalnej (Ep), jaką posiada ciało o masie m umieszczone w polu grawitacyjnym, do masy tego ciała:

gdzie:
V – potencjał pola grawitacyjnego [J/kg],
Ep – energia potencjalna ciała umieszczonego w polu grawitacyjnym [J],
m – masa ciała umieszczonego w polu grawitacyjnym [kg].
Potencjał jednorodnego pola grawitacyjnego jest zależny od przyspieszenia ziemskiego (lub natężenia pola grawitacyjnego) i położenia ciała w stosunku do źródła pola grawitacyjnego:

lub

gdzie:
V – potencjał pola grawitacyjnego [J/kg],
Ep – energia potencjalna ciała umieszczonego w polu grawitacyjnym [J],
m – masa ciała umieszczonego w polu grawitacyjnym [kg],
g – przyspieszenie ziemskie [m/s²],
γ – natężenie pola grawitacyjnego [N/kg]=[m/s²],
h – położenie ciała w stosunku do powierzchni Ziemi [m].
Potencjał centralnego pola grawitacyjnego zależy od masy ciała stanowiącego źródło pola grawitacyjnego i odległości ciała umieszczonego w tym polu grawitacyjnym od jego źródła:

gdzie:
V – potencjał pola grawitacyjnego [J/kg],
Ep – energia potencjalna ciała próbnego umieszczonego w polu grawitacyjnym [J],
G – stała grawitacji (G=6,67∙10-11 Nm²/kg²),
M− masa ciała stanowiącego źródło pola grawitacyjnego [kg],
m – masa ciała umieszczonego w polu grawitacyjnym [kg],
r – odległość ciała umieszczonego w polu grawitacyjnym od źródła tego pola [m].
Energia potencjalna ciał w centralnym polu grawitacyjnym i potencjał grawitacyjny tego pola przyjmują zawsze wartości ujemne. Energia potencjalna ma wartość równą zeru (E_p=0) przy nieskończenie dużych odległościach (r=∞) i zgodnie z wzorem jej wartość maleje wraz ze zmniejszaniem się odległości między ciałem umieszczonym w danym punkcie pola i jego źródłem. Dla skończonych odległości energia potencjalna jest więc zawsze mniejsza od zera.


