ATP
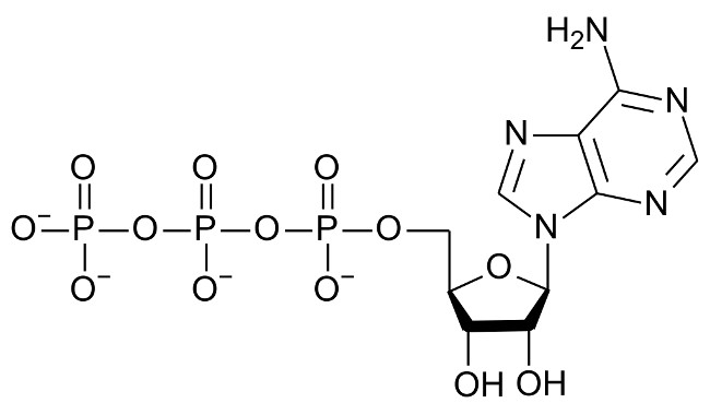
ATP, adenozynotrifosforan — główny nośnik energii w komórkach. ATP to organiczny związek chemiczny – nukleotyd zbudowany z trzech części. Jedną z nich jest adenina (organiczna zasada zawierająca azot), drugą ryboza (pięciowęglowy cukier) a ostatnią stanowią trzy reszty kwasu fosforowego (atomy fosforanu związane z atomami tlenu). Reszty fosforanowe mogą się odłączać i przyłączać. Adenozynotrifosforan posiada liczne grupy hydrofilowe w związku z czym dobrze rozpuszcza się w wodzie. W kwasach i w zasadach szybko hydrolizuje, stabilność zachowuje w pH od 6,8 do 7,4. Masa molowa cząsteczki wynosi 507,18 g/mol a wzór sumaryczny przedstawia się następująco: C10H16N5O13P3
Może być też przedstawiana w formie innego wzoru: C10H8N4O2NH2(OH)2(PO3H)3H
ATP jest ważnym składnikiem wszystkich komórek ponieważ pełni funkcję pierwotnego przenośnika energii. Stanowi magazyn energii w procesach fotosyntezy i oddychania komórkowego. Adenozynotrifosforan został wykryty przez Karla Lohmana w 1929 roku, natomiast w roku 1948 pierwszy raz został zsyntetyzowany przez Alexandra Todda i jego zespół. Wykorzystali oni do tego reakcję fosforylacji adenozyny za pomocą chlorofosforanudibenzylowego.
Wszystkie żywe komórki łatwo dostępną energię gromadzą w postaci adenozynotrifosforanu, z którego mogą ją szybko odzyskać. Jest to więc obiegowa energia komórki, która jest wykorzystywana na bieżąco. Jeśli w komórce powstanie więcej energii to może ona zostać ulokowana w wiązaniach chemicznych lipidów, skrobi lub glikogenu. ATP dostarcza energii poprzez przenoszenie grupy fosforanowej. Po odłączeniu końcowej reszty fosforanowej powstaje adenozynodifosforan czyli ADP. Reszta fosforanowa może zostać przyłączona do innego związku bądź uwolniona jako fosfor nieorganiczny. Przekształcenie ATP w ADP i Pi jest reakcją egzoergiczną, czyli taką, która uwalnia energię do otoczenia.
Przebieg reakcji hydrolizy:
ATP + H2O → ADP + Pi
Reakcja może być odwrotna w której do ADP jest przyłączana reszta fosforanowa i powstaje ATP lub do AMP (adenozynomonofosforan) w skutek czego powstaje ADP. Są to reakcje endoergiczne czyli wymagają dostarczenia energii z zewnątrz aby mogły zajść. ATP łączy zatem reakcje egzoergiczne z endoergicznymi. Jest pośrednikiem w metabolizmie komórki oraz ważnym ogniwem łączącym reakcje egzoergiczne, które najczęściej występują w szlakach katabolicznych, z reakcjami endoergicznymi występującymi w szlakach anabolicznych. Stosunek ATP do ADP w komórce jest nierównomierny. Podczas rozkładu związków pokarmowych w trakcie oddychania komórkowego lub podczas pochłaniania energii słonecznej przez aparat fotosyntetyzujący ATP stale jest przekształcane z ADP i fosforu. W wyniku tych reakcji przeciętny stosunek ATP do ADP wynosi 10 do 1. ATP jednak nie gromadzi się w komórkach i jego stężenie jest bardzo niskie a ponadto zużywane jest równie szybko jak powstaje. Oszacowano, że w każdej komórce człowieka, w ciągu sekundy powstaje 10 milionów cząsteczek ATP oraz tyle samo jest rozkładanych do ADP.
W komórkach cały czas zachodzą procesy, stale zachodzą reakcje metaboliczne i przetwarzane są składniki chemiczne. Metabolizm obejmuje dwa ciągi reakcji: katabolizm w którym związki złożone rozpadają się na prostsze wydzielając przy tym energię, oraz anabolizm czyli syntezę złożonych substancji ze składników prostszych. Większość reakcji anabolicznych zachodzi tylko w obecności ATP (lub innych źródeł energii) ponieważ są endoergiczne. Do reakcji anabolicznych należy na przykład synteza białek, kwasów nukleinowych, lipidów czy polisacharydów. Natomiast głównym procesem katabolicznym jest oddychanie komórkowe podczas którego energia jest uwalniana do otoczenia. Szlaki oddechowe są trzy. Może to być oddychanie tlenowe, oddychanie beztlenowe lub fermentacja. W trakcie oddychania komórkowego cząsteczki ATP są wytwarzane w serii reakcji redoks. Podczas oddychania tlenowego ostatecznym akceptorem elektronów jest tlen cząsteczkowy natomiast w trakcie oddychania beztlenowego jest to inna cząsteczka nieorganiczna. Fermentacja z kolei jest beztlenowym procesem wytwarzania ATP w wyniku reakcji oksydacyjno-redukcyjnych, w których związki organiczne są zarówno donorami (dawcami) jaki i akceptorami (biorcami) elektronów.
Reakcje redoks to takie reakcje, w których zachodzi jednocześnie redukcja i oksydacja (utlenianie). W reakcjach redoks do wytworzenia ATP, jako źródła energii wykorzystywane są proste i złożone cukry albo lipidy. Substraty złożone muszą wcześniej ulec rozkładowi na prostsze składniki, by mogły wziąć udział w syntezie ATP. Węglowodany złożone będą hydrolizowały do cukrów prostych czyli monosacharydów takich jak fruktoza czy glukoza. Trójglicerole natomiast będą hydrolizować do glicerolu i kwasów tłuszczowych. Podczas oddychania komórkowego, w procesie utleniania jednej cząsteczki glukozy do dwutlenku węgla powstaje energia dzięki której może się odnowić około trzydziestu cząsteczek ATP.
Adenozynotrójfosforan może być biosyntetyzowany w wyniku innych procesów. U organizmów eukariotycznych ATP jest generowane w trzech głównych szlakach metabolicznych: glikoliza, cykl kwasu cytrynowego (cykl Krebsa) i fosforylacja oksydacyjna czyli reakcje oddychania komórkowego oraz beta-oksydacja czyli szeregu reakcji przekształcania kwasów tłuszczowych w acetylokoenzym A. Podczas glikolizy glukoza i glicerol są metabolizowane do pirogronianu. Zazwyczaj proces ten zachodzi w cytozolu ale u niektórych pierwotniaków przeprowadzany jest w organellach nazywanych glikosomami. W procesie glikolizy z jednej cząsteczki glukozy generowane są dwie cząsteczki ATP. W wyniku fosforylacji substratowej powstają cztery cząsteczki ATP natomiast dwie zostają zużyte na włączenie glukozy do procesu glukokinazy lub heksokinazy oraz fosfofruktokinazy.
Do wytworzenia ATP z ADP i fosforu nieorganicznego jest niezbędny enzym należący do grupy syntez katalizujących – synteza ATP. Synteza ATP dostarcza energii pochodzącej z wiązań chemicznych podczas transportu protonów. Enzym znajduje się w wewnętrznej błonie mitochondrium, wewnątrz chloroplastów w błonach tylakoidów oraz w błonach komórkowych prokariontów. Bierze udział we wszystkich najważniejszych procesach pozyskiwania energii przez organizmy czyli w fosforylacji oksydacyjnej w oddychaniu komórkowym oraz w fosforylacji fotosyntetycznej w fazie jasnej fotosyntezy.
- Biochemia, Lubert Stryer, Jeremy M. Berg, John L. Tymoczko, Wydawnictwo Naukowe PWN, Warszawa 2009.
- Biologia, Eldra Pearl Solomon, Linda R. Berg, Diana W. Martin, Claude A. Villee, Multico Oficyna Wydawnicza, Warszawa 1996.
- Chemia organiczna, John McMurry, Wydawnictwo Naukowe PWN, Warszawa 2005.
- Encyklopedia biologiczna T. I, Zdzisława Otałęga (red. nacz.), Agencja Publicystyczno-Wydawnicza Opres, Kraków 1998.
- Podstawy biologii komórki, Bruce Alberts, Dennis Bray, Karen Hopkin, Alexander Johnson, Julian Lewis, Martin Raff, Keith Roberts, Peter Walter, Wydawnictwo Naukowe PWN, Warszawa 2005.




